Прямой ход гаусса. Метод Гаусса для решения матриц. Решение системы линейных уравнений методом Гаусса
Одним из простейших способов решения системы линейных уравнений является прием, основанный на вычислении определителей (правило Крамера ). Его преимущество состоит в том, что он позволяет сразу провести запись решения, особенно он удобен в тех случаях, когда коэффициенты системы являются не числами, а какими-то параметрами. Его недостаток – громоздкость вычислений в случае большого числа уравнений, к тому же правило Крамера непосредственно не применимо к системам, у которых число уравнений не совпадает с числом неизвестных. В таких случаях обычно применяют метод Гаусса .
Системы линейных уравнений, имеющие одно и то же множество решений, называются эквивалентными . Очевидно, что множество решений линейной системы не изменится, если какие-либо уравнения поменять местами, или умножить одно из уравнений на какое-либо ненулевое число, или если одно уравнение прибавить к другому.
Метод Гаусса (метод последовательного исключения неизвестных ) заключается в том, что с помощью элементарных преобразований система приводится к эквивалентной системе ступенчатого вида. Сначала с помощью 1-го уравнения исключается x 1 из всех последующих уравнений системы. Затем с помощью2-го уравнения исключается x 2 из 3-го и всех последующих уравнений. Этот процесс, называемый прямым ходом метода Гаусса , продолжается до тех пор, пока в левой части последнего уравнения останется только одно неизвестное x n . После этого производится обратный ход метода Гаусса – решая последнее уравнение, находим x n ; после этого, используя это значение, из предпоследнего уравнения вычисляем x n –1 и т.д. Последним находим x 1 из первого уравнения.
Преобразования Гаусса удобно проводить, осуществляя преобразования не с самими уравнениями, а с матрицами их коэффициентов. Рассмотрим матрицу:
называемую расширенной матрицей системы, ибо в нее, кроме основной матрицы системы, включен столбец свободных членов. Метод Гаусса основан на приведении основной матрицы системы к треугольному виду (или трапециевидному виду в случае неквадратных систем) при помощи элементарных преобразованиях строк (!) расширенной матрицы системы.
Пример 5.1. Решить систему методом Гаусса:

Решение . Выпишем расширенную матрицу системы и, используя первую строку, после этого будем обнулять остальные элементы:
получим нули во 2-й, 3-й и 4-й строках первого столбца:


Теперь нужно чтобы все элементы во втором столбце ниже 2-й строки были равны нулю. Для этого можно умножить вторую строку на –4/7 и прибавить к 3-й строке. Однако чтобы не иметь дело с дробями, создадим единицу во 2-й строке второго столбца и только
Теперь, чтобы получить треугольную матрицу, нужно обнулить элемент четвертой строки 3-го столбца, для этого можно умножить третью строку на 8/54 и прибавить ее к четвертой. Однако чтобы не иметь дело с дробями поменяем местами 3-ю и 4-ю строки и 3-й и 4-й столбец и только после этого произведем обнуление указанного элемента. Заметим, что при перестановке столбцов меняются местами, соответствующие переменные и об этом нужно помнить; другие элементарные преобразования со столбцами (сложение и умножение на число) производить нельзя!

Последняя упрощенная матрица соответствует системе уравнений, эквивалентной исходной:

Отсюда, используя обратный ход метода Гаусса, найдем из четвертого уравнения x 3 = –1; из третьего x 4 = –2, из второго x 2 = 2 и из первого уравнения x 1 = 1. В матричном виде ответ записывается в виде
Мы рассмотрели случай, когда система является определенной, т.е. когда имеется только одно решение. Посмотрим, что получится, если система несовместна или неопределенна.
Пример 5.2. Исследовать систему методом Гаусса:

Решение . Выписываем и преобразуем расширенную матрицу системы

Записываем упрощенную систему уравнений:

Здесь, в последнем уравнении получилось, что 0=4, т.е. противоречие. Следовательно, система не имеет решения, т.е. она несовместна . à
Пример 5.3. Исследовать и решить систему методом Гаусса:

Решение . Выписываем и преобразуем расширенную матрицу системы:

В результате преобразований, в последней строке получились одни нули. Это означает, что число уравнений уменьшилось на единицу:

Таким образом, после упрощений осталось два уравнения, а неизвестных четыре, т.е. два неизвестных "лишних". Пусть "лишними", или, как говорят, свободными переменными , будут x 3 и x 4 . Тогда

Полагая x 3 = 2a и x 4 = b , получим x 2 = 1–a и x 1 = 2b –a ; или в матричном виде
Записанное подобным образом решение называется общим , поскольку, придавая параметрам a и b различные значения, можно описать все возможные решения системы. à
Решение систем линейных уравнений методом Гаусса.
Пусть нам требуется найти решение системы из n
линейных уравнений с n
неизвестными переменными
определитель основной матрицы которой отличен от нуля.
Суть метода Гаусса состоит в последовательном исключении неизвестных переменных: сначала исключается x 1 из всех уравнений системы, начиная со второго, далее исключается x 2 из всех уравнений, начиная с третьего, и так далее, пока в последнем уравнении останется только неизвестная переменная x n . Такой процесс преобразования уравнений системы для последовательного исключения неизвестных переменных называется прямым ходом метода Гаусса . После завершения прямого хода метода Гаусса из последнего уравнения находитсяx n , с помощью этого значения из предпоследнего уравнения вычисляется x n-1 , и так далее, из первого уравнения находится x 1 . Процесс вычисления неизвестных переменных при движении от последнего уравнения системы к первому называется обратным ходом метода Гаусса .
Кратко опишем алгоритм исключения неизвестных переменных.
Будем считать, что , так как мы всегда можем этого добиться перестановкой местами уравнений системы. Исключим неизвестную переменную x 1
из всех уравнений системы, начиная со второго. Для этого ко второму уравнению системы прибавим первое, умноженное на , к третьему уравнению прибавим первое, умноженное на , и так далее, к n-ому
уравнению прибавим первое, умноженное на . Система уравнений после таких преобразований примет вид
где , а
.
К такому же результату мы бы пришли, если бы выразили x 1 через другие неизвестные переменные в первом уравнении системы и полученное выражение подставили во все остальные уравнения. Таким образом, переменная x 1 исключена из всех уравнений, начиная со второго.
Далее действуем аналогично, но лишь с частью полученной системы, которая отмечена на рисунке
Для этого к третьему уравнению системы прибавим второе, умноженное на , к четвертому уравнению прибавим второе, умноженное на , и так далее, к n-ому
уравнению прибавим второе, умноженное на . Система уравнений после таких преобразований примет вид
где , а
. Таким образом, переменная x 2
исключена из всех уравнений, начиная с третьего.
Далее приступаем к исключению неизвестной x 3
, при этом действуем аналогично с отмеченной на рисунке частью системы
Так продолжаем прямой ход метода Гаусса пока система не примет вид
С этого момента начинаем обратный ход метода Гаусса: вычисляем x n из последнего уравнения как , с помощью полученного значения x n находим x n-1 из предпоследнего уравнения, и так далее, находим x 1 из первого уравнения.
Пример.
Решите систему линейных уравнений
методом Гаусса.
Карл Фридрих Гаусс, величайший математик долгое время колебался, выбирая между философией и математикой. Возможно, именно такой склад ума позволил ему столь заметно "наследить" в мировой науке. В частности, создав "Метод Гаусса" ...
Почти 4 года статьи этого сайта касались школьного образования, в основном, со стороны философии, принципов (не)понимания, внедряемых в сознание детей. Приходит время бОльшей конкретики, примеров и методов... Я верю, что именно такой подход к привычным, запутанным и важным областям жизни дает лучшие результаты.
Мы, люди так устроены, что сколько ни говори об абстрактном мышлении , но понимание всегда происходит через примеры . Если примеры отсутствуют, то принципы уловить невозможно... Как невозможно оказаться на вершине горы иначе, как пройдя весь ее склон от подножия.
Тоже и со школой: пока живых историй недостаточно мы инстинктивно продолжаем считать ее местом, где детей учат понимать.
Например, обучая методу Гаусса...
Метод Гаусса в 5 классе школы
Оговорюсь сразу: метод Гаусса имеет гораздо более широкое применение, например, при решении систем линейных уравнений . То, о чем мы будем говорить, проходят в 5 классе. Это начала , уяснив которые, гораздо легче разобраться в более "продвинутых вариантах". В этой статье мы говорим о методе (способе) Гаусса при нахождении суммы ряда
Вот пример, который принес из школы мой младший сын, посещающий 5 класс московской гимназии.
Школьная демонстрация метода Гаусса
Учитель математики с использованием интерактивной доски (современные методы обучения ) показал детям презентацию истории "создания метода" маленьким Гауссом.
Школьный учитель выпорол маленького Карла (устаревший метод, нынче в школах не применяется) за то, что тот,
вместо того, чтобы последовательно складывая числа от 1 до 100 найти их сумму заметил , что пары чисел, равно отстоящие от краев арифметической прогрессии, в сумме дают одно и то же число. например, 100 и 1, 99 и 2. Посчитав количество таких пар, маленький Гаусс почти моментально решил предложенную учителем задачу. За что и был подвергнут экзекуции на глазах изумленной публики. Чтобы остальным думать было неповадно.
Что сделал маленький Гаусс, развивший чувство числа ? Заметил некоторую особенность числового ряда с постоянным шагом (арифметической прогрессии). И именно это сделало его впоследствии великим ученым, умеющим замечать , обладающим чувством, инстинктом понимания .
Этим и ценна математика, развивающая способность видеть общее в частном - абстрактное мышление . Поэтому большинство родителей и работодателей инстинктивно считают математику важной дисциплиной ...
"Математику уже затем учить надо, что она ум в порядок приводит.
М.В.Ломоносов".
Однако, последователи тех, кто порол розгами будущих гениев, превратили Метод в нечто противоположное. Как 35 лет назад говорил мой научный руководитель: "Занаучили вопрос". Или как сказал вчера о методе Гаусса мой младший сын: "Может не стоит из этого большую науку делать-то, а?"
Последствия творчества "ученых" видны по уровню нынешней школьной математики, уровню ее преподавания и понимания "Царицы наук" большинством.
Однако, продолжим...
Методы объяснения метода Гаусса в 5 классе школы
Учитель математики московской гимназии, объясняя метод Гаусса по-Виленкину, усложнил задание.
Что, если разность (шаг) арифметической прогрессии будет не единица, а другое число? Например, 20.
Задача, которую он дал пятиклассникам:
20+40+60+80+ ... +460+480+500
Прежде, чем познакомиться с гимназическим методом, заглянем в Сеть: как это делают школьные учителя - репетиторы по математике?..
Метод Гаусса: объяснение №1
Известный репетитор на своем канале YOUTUBE приводит следующие рассуждения:
"запишем числа от 1 до 100 следующим образом:
сначала ряд чисел от 1 до 50, а строго под ним другой ряд чисел от 50 до 100, но в обратной последовательности"
1, 2, 3, ... 48, 49, 50
100, 99, 98 ... 53, 52, 51
"Обратите внимание: сумма каждой пары чисел из верхнего и нижнего рядов одинакова и равняется 101 ! Посчитаем количество пар, оно составляет 50 и умножим сумму одной пары на количество пар! Вуаля: Ответ готов!".
"Если вы не смогли понять - не расстраивайтесь!", - три раза в процессе объяснения повторил учитель. "Этот метод вы будете проходить в 9 классе!"
Метод Гаусса: объяснение №2
Другой репетитор, менее известный (судя по числу просмотров) использует более научный подход, предлагая алгоритм решения из 5 пунктов, которые необходимо выполнить последовательно.
Для непосвященных: 5 это одно из чисел Фибоначчи, традиционно считающееся магическим. Метод из 5 шагов всегда более научен, чем метод, например, из 6 шагов. ... И это вряд ли случайность, скорее всего, Автор - скрытый приверженец теории Фибоначчи
Дана арифметическая прогрессия: 4, 10, 16 ... 244, 250, 256 .
Алгоритм нахождения суммы чисел ряда методом Гаусса:
4, 10, 16 ... 244, 250, 256
256, 250, 244 ... 16, 10, 4
При этом нужно помнить о правиле "Плюс один" : к полученному частному необходимо прибавить единицу: иначе мы получим результат, меньший на единицу, чем истинное число пар: 42 + 1 = 43.
Это и есть искомая сумма арифметической прогрессии от 4 до 256 с разницей 6 !
Метод Гаусса: объяснение в 5 классе московской гимназии
А вот как требовалось решить задачу нахождения суммы ряда:
20+40+60+ ... +460+480+500
в 5 классе московской гимназии, учебник Виленкина (со слов моего сына).
Показав презентацию, учительница математики показала пару примеров по методу Гаусса и дала классу задачу по нахождению суммы чисел ряда с шагом 20.
При этом требовалось следующее:
Как видим, это более компактная и эффективная методика: число 3 - также член последовательности Фибоначчи

Мои комментарии к школьной версии метода Гаусса
Великий математик определенно выбрал бы философию, если бы предвидел, во что превратят его "метод" последователи немецкого учителя , выпоровшего Карла розгами. Он узрел бы и символизм, и диалектическую спираль и неумирающую глупость "учителей", пытающихся измерить алгеброй непонимания гармонию живой математической мысли ....
Между прочим: знаете ли вы. что наша система образования уходит корнями в немецкую школу 18 - 19 веков?
Но Гаусс выбрал математику.
В чем суть его метода?
В упрощении . В наблюдении и схватывании простых закономерностей чисел. В превращении сухой школьной арифметики в интересное и увлекательное занятие , активизирующее в мозге желание продолжать, а не блокирующее высокозатратную умственную деятельность.
Разве возможно одной из приведенных "модификаций метода" Гаусса посчитать сумму чисел арифметической прогрессии почти моментально ? По "алгоритмам" маленький Карл гарантированно избежал бы порки, воспитал отвращение к математике и подавил на корню свои творческие импульсы.
Почему репетитор так настойчиво советовал пятиклассникам "не бояться непонимания" метода, убеждая, что "такие" задачи они будут решать аж в 9 классе? Психологически безграмотное действие . Удачным приемом было отметить : "Видите? Вы уже в 5 классе можете решать задачи, которые будете проходить только через 4 года! Какие вы молодцы!".
Для использования метода Гаусса достаточно уровня 3 класса , когда нормальные дети уже умеют складывать, умножать и делить 2 -3 значные числа. Проблемы возникают из-за неспособности взрослых учителей, "не въезжающих", как объяснить простейшие вещи нормальным человеческим языком, не то что математическим... Не способных заинтересовать математикой и напрочь отбивающих охоту даже у "способных".
Или, как прокомментировал мой сын: "делающих из этого большую науку".
Метод Гаусса, мои объяснения
Нашему ребенку мы с супругой объясняли этот "метод", кажется, еще до школы...
Простота вместо усложнения или игра в вопросы - ответы
""Посмотри, вот числа от 1 до 100. Что ты видишь?"
Дело не в том, что именно увидит ребенок. Фокус в том, чтобы он стал смотреть.
"Как можно их сложить?" Сын уловил, что такие вопросы не задаются "просто так" и нужно взглянуть на вопрос "как-то по-другому, иначе, чем он делает обычно"
Не важно, увидит ли ребенок решение сразу, это маловероятно. Важно, чтобы он перестал бояться смотреть, или как я говорю: "шевелил задачу" . Это начало пути к пониманию
"Что легче: сложить, например, 5 и 6 или 5 и 95?" Наводящий вопрос... Но ведь любое обучение и сводится к "наведению" человека на "ответ" - любым приемлемым для него способом.
На этом этапе уже могут возникнуть догадки о том, как "сэкономить" на вычислениях.
Все, что мы сделали - намекнули: "лобовой, линейный" метод счета - не единственно возможный. Если ребенок это усек, то впоследствии он выдумает еще много таких методов, ведь это интересно!!! И он точно избежит "непонимания" математики, не будет испытывать к ней отвращение. Он получил победу!
Если ребенок обнаружил , что сложение пар чисел, дающих в сумме сотню, плевое занятие, то "арифметическая прогрессия с разницей 1" - довольно муторная и неинтересная для ребенка вещь - вдруг для него обрела жизнь . Из хаоса возник порядок, а это всегда вызывает энтузиазм: так мы устроены !
Вопрос на засыпку: зачем после полученного ребенком озарения вновь загонять его в рамки сухих алгоритмов, к тому же функционально бесполезных в этом случае?!
Зачем заставлять тупо переписывать числа последовательности в тетрадь: чтобы даже у способных не возникло и единого шанса на понимание? Статистически, конечно, а ведь массовое образование заточено на "статистику" ...
Куда делся ноль?
И все-таки складывать числа, дающие в сумме 100 для ума гораздо более приемлемо, чем дающие 101 ...
"Школьный метод Гаусса" требует именно этого: бездумно складывать равноотстоящие от центра прогрессии пары чисел, несмотря ни на что .
А если посмотреть?
Все-таки ноль - величайшее изобретение человечества, которому более 2 000 лет. А учителя математики продолжают его игнорировать.
Гораздо проще преобразовать ряд чисел, начинающийся с 1, в ряд, начинающийся с 0. Сумма ведь не изменится, не правда ли? Нужно перестать "думать учебниками" и начать смотреть... И увидеть, что пары с суммой 101 вполне можно заменить парами с суммой 100 !
0 + 100, 1 + 99, 2 + 98 ... 49 + 51
Как упразднить "правило плюс 1"?
Если честно, то я о таком правиле впервые услышал от того ютубовского репетитора...
Как я до сих пор поступаю, когда требуется определить количество членов какого-нибудь ряда?
Смотрю на последовательность:
1, 2, 3, .. 8, 9, 10
а когда совсем устал, то на более простой ряд:
1, 2, 3, 4, 5
и прикидываю: если вычесть из 5 единицу, то получится 4, но я совершенно ясно вижу 5 чисел! Следовательно, нужно прибавить единицу! Чувство числа, развитое в начальной школе, подсказывает: даже если членов ряда будет целый гугл (10 в сотой степени), закономерность останется той же.
На фиг правила?..
Чтобы через пару - тройку лет заполнить все пространство между лбом и затылком и перестать соображать? А зарабатывать на хлеб с маслом как? Ведь мы ровными шеренгами движемся в эпоху цифровой экономики!
Еще о школьном методе Гаусса: "зачем науку-то из этого делать?.."
Я не зря разместил скриншот из тетрадки сына...
"Что там было, на уроке?"
"Ну, я сосчитал сразу, поднял руку, но она не спросила. Поэтому, пока остальные считали я стал делать ДЗ по русскому языку, чтобы не тратить время. Потом, когда остальные дописали (???), она вызвала меня к доске. Я сказал ответ."
"Правильно, покажи, как ты решал", - сказала учительница. Я показал. Она сказала: "Неправильно, нужно считать так, как я показала!"
"Хорошо, что двойку не поставила. И заставила написать в тетради "ход решения" по-ихнему. Зачем науку-то большую из этого делать?.."
Главное преступление учителя математики
Вряд ли после того случая Карл Гаусс испытал высокое чувство уважения по отношению к школьному учителю математики. Но если бы он знал, как последователи того учителя извратят самую суть метода ... он взревел бы от негодования и через Всемирную организацию интеллектуальной собственности ВОИС добился запрета на использование своего честного имени в школьных учебниках!..
В чем главная ошибка школьного подхода ? Или, как я выразился - преступление школьных учителей математики против детей?
Алгоритм непонимания
Что делают школьные методисты, абсолютное большинство которых думать не умеет ни фига?
Создают методики и алгоритмы (см. ). Это защитная реакция, предохраняющая учителей от критики ("Все делается согласно..."), а детей - от понимания. И таким образом - от желания критиковать учителей! (Вторая производная чиновничьей "мудрости", научный подход к проблеме ). Человек не улавливая смысл скорее будет пенять на собственное непонимание, а не на тупость школьной системы.
Что и происходит: родители пеняют на детей, а учителя... то же на детей, "не понимающих математику!..
Смекаете?
Что сделал маленький Карл?
Абсолютно нешаблонно подошел к шаблонной задаче . Это квинтэссенция Его подхода. Это главное, чему следует учить в школе: думать не учебниками, а головой . Конечно, есть и инструментальная составляющая, которую вполне можно использовать... в поисках более простых и эффективных методов счета .
Метод Гаусса по-Виленкину
В школе учат, что метод Гаусса состоит в том, чтобы
что, если число элементов ряда окажется нечетным , как в задаче, которую задали сыну?..
"Подвох" состоит в том, что в этом случае следует обнаружить "лишнее" число ряда и прибавить его к сумме пар. В нашем примере это число 260 .
Как обнаружить? Переписывая все пары чисел в тетрадь! (Именно почему учительница заставила детей делать эту тупую работу, пытаясь научить "творчеству" методом Гаусса... И именно поэтому такой "метод" практически неприменим к большим рядам данных, И именно поэтому он не является методом Гаусса).
Немного творчества в школьной рутине...
Сын же поступил иначе.
(20 + 500, 40 + 480 ...).
0+500, 20+480, 40+460 ...
Несложно, правда?
А практически делается еще легче, что и позволяет выкроить 2-3 минуты на ДЗ по русскому, пока остальные "считают". К тому же сохраняет количество шагов методики: 5, что не позволяет критиковать подход за антинаучность.
Явно этот подход проще, быстрее и универсальнее, в стиле Метода. Но... учительница не то, что не похвалила, но и заставила переписать "правильным образом" (см. скриншот). То есть предприняла отчаянную попытку задушить творческий импульс и способность понимать математику на корню! Видимо, чтобы потом наняться репетитором... Не на того напала...
Все, что я так долго и нудно описал можно объяснить нормальному ребенку максимум за полчаса. Вместе с примерами.
Причем так, что он это никогда не забудет.
И это будет шаг к пониманию ... не только математики.
Признайтесь: сколько раз в жизни вы складывали методом Гаусса? И я ни разу!
Но инстинкт понимания , который развивается (или гасится) в процессе изучения математических методов в школе... О!.. Это поистине незаменимая вещь!
Особенно в век всеобщей цифровизации, в который мы незаметно вошли под чутким руководством Партии и Правительства.
Несколько слов в защиту учителей...
Несправедливо и неправильно всю ответственность за такой стиль обучения сваливать исключительно на школьных учителей. Действует система.
Некоторые учителя понимают абсурдность происходящего, но что делать? Закон об образовании, ФГОСы, методики, технологические карты уроков... Все должно делаться "в соответствии и на основании" и все должно быть задокументировано. Шаг в сторону - встал в очередь на увольнение. Не будем ханжами: зарплата московских учителей ну очень неплохая... Уволят - куда идти?..
Поэтому сайт этот не об образовании . Он об индивидуальном образовании , единственно возможном способе выбраться из толпы поколения Z ...
Метод Гаусса, называемый также методом последовательного исключения неизвестных, состоит в следующем. При помощи элементарных преобразований систему линейных уравнений приводят к такому виду, чтобы её матрица из коэффициентов оказалась трапециевидной (то же самое, что треугольной или ступенчатой) или близкой к трапециевидной (прямой ход метода Гаусса, далее - просто прямой ход). Пример такой системы и её решения - на рисунке сверху.
В такой системе последнее уравнение содержит только одну переменную и её значение можно однозначно найти. Затем значение этой переменной подставляют в предыдущее уравнение (обратный ход метода Гаусса , далее - просто обратный ход), из которого находят предыдущую переменную, и так далее.
В трапециевидной (треугольной) системе, как видим, третье уравнение уже не содержит переменных y и x , а второе уравнение - переменной x .
После того, как матрица системы приняла трапециевидную форму, уже не представляет труда разобраться в вопросе о совместности системы, определить число решений и найти сами решения.
Преимущества метода:
- при решении систем линейных уравнений с числом уравнений и неизвестных более трёх метод Гаусса не такой громоздкий, как метод Крамера , поскольку при решении методом Гаусса необходимо меньше вычислений;
- методом Гаусса можно решать неопределённые системы линейных уравнений, то есть, имеющие общее решение (и мы разберём их на этом уроке), а, используя метод Крамера, можно лишь констатировать, что система неопределённа;
- можно решать системы линейных уравнений, в которых число неизвестных не равно числу уравнений (также разберём их на этом уроке);
- метод основан на элементарных (школьных) методах - методе подстановки неизвестных и методе сложения уравнений, которых мы коснулись в соответствующей статье.
Чтобы все прониклись простотой, с которой решаются трапециевидные (треугольные, ступенчатые) системы линейных уравнений, приведём решение такой системы с применением обратного хода. Быстрое решение этой системы было показано на картинке в начале урока.
Пример 1. Решить систему линейных уравнений, применяя обратный ход:

Решение. В данной трапециевидной системе переменная z однозначно находится из третьего уравнения. Подставляем её значение во второе уравнение и получаем значение переменой y :
Теперь нам известны значения уже двух переменных - z и y . Подставляем их в первое уравнение и получаем значение переменной x :
Из предыдущих шагов выписываем решение системы уравнений:
![]()
Чтобы получить такую трапециевидную систему линейных уравнений, которую мы решили очень просто, требуется применять прямой ход, связанный с элементарными преобразованиями системы линейных уравнений. Это также не очень сложно.
Элементарные преобразования системы линейных уравнений
Повторяя школьный метод алгебраического сложения уравнений системы, мы выяснили, что к одному из уравнений системы можно прибавлять другое уравнение системы, причём каждое из уравнений может быть умножено на некоторые числа. В результате получаем систему линейных уравнений, эквивалентную данной. В ней уже одно уравнение содержало только одну переменную, подставляя значение которой в другие уравнений, мы приходим к решению. Такое сложение - один из видов элементарного преобразования системы. При использовании метода Гаусса можем пользоваться несколькими видами преобразований.

На анимации выше показано, как система уравнений постепенно превращается в трапециевидную. То есть такую, которую вы видели на самой первой анимации и сами убедились в том, что из неё просто найти значения всех неизвестных. О том, как выполнить такое превращение и, конечно, примеры, пойдёт речь далее.
При решении систем линейных уравнений с любым числом уравнений и неизвестных в системе уравнений и в расширенной матрице системы можно :
- переставлять местами строки (это и было упомянуто в самом начале этой статьи);
- если в результате других преобразований появились равные или пропорциональные строки, их можно удалить, кроме одной;
- удалять "нулевые" строки, где все коэффициенты равны нулю;
- любую строку умножать или делить на некоторое число;
- к любой строке прибавлять другую строку, умноженное на некоторое число.
В результате преобразований получаем систему линейных уравнений, эквивалентную данной.
Алгоритм и примеры решения методом Гаусса системы линейных уравнений с квадратной матрицей системы
Рассмотрим сначала решение систем линейных уравений, в которых число неизвестных равно числу уравнений. Матрица такой системы - квадратная, то есть в ней число строк равно числу столбцов.
Пример 2. Решить методом Гаусса систему линейных уравнений

Решая системы линейных уравнений школьными способами, мы почленно умножали одно из уравнений на некоторое число, так, чтобы коэффициенты при первой переменной в двух уравнениях были противоположными числами. При сложении уравнений происходит исключение этой переменной. Аналогично действует и метод Гаусса.
Для упрощения внешнего вида решения составим расширенную матрицу системы :

В этой матрице слева до вертикальной черты расположены коэффициенты при неизвестных, а справа после вертикальной черты - свободные члены.
Для удобства деления коэффициентов при переменных (чтобы получить деление на единицу) переставим местами первую и вторую строки матрицы системы . Получим систему, эквивалентную данной, так как в системе линейных уравнений можно переставлять местами уравнения:

С помощью нового первого уравнения исключим переменную x из второго и всех последующих уравнений . Для этого ко второй строке матрицы прибавим первую строку, умноженную на (в нашем случае на ), к третьей строке – первую строку, умноженную на (в нашем случае на ).
Это возможно, так как
Если бы в нашей системе уравнений было больше трёх, то следовало бы прибавлять и ко всем последующим уравнениям первую строку, умноженную на отношение соответствующих коэффициентов, взятых со знаком минус.
В результате получим матрицу эквивалентную данной системе новой системы уравнений, в которой все уравнения, начиная со второго не содержат переменнную x :

Для упрощения второй строки полученной системы умножим её на и получим вновь матрицу системы уравнений, эквивалентной данной системе:

Теперь, сохраняя первое уравнение полученной системы без изменений, с помощью второго уравнения исключаем переменную y из всех последующих уравнений. Для этого к третьей строке матрицы системы прибавим вторую строку, умноженную на (в нашем случае на ).
Если бы в нашей системе уравнений было больше трёх, то следовало бы прибавлять и ко всем последующим уравнениям вторую строку, умноженную на отношение соответствующих коэффициентов, взятых со знаком минус.
В результате вновь получим матрицу системы, эквивалентной данной системе линейных уравнений:

Мы получили эквивалентную данной трапециевидную систему линейных уравнений:

Если число уравнений и переменных больше, чем в нашем примере, то процесс последовательного исключения переменных продолжается до тех пор, пока матрица системы не станет трапециевидной, как в нашем демо-примере.
Решение найдём "с конца" - обратный ход
. Для этого из последнего уравнения определим z
:
.
Подставив это значение в предшествующее уравнение, найдём y
:
Из первого уравнения найдём x
:
![]()
Ответ: решение данной системы уравнений -
.
: в этом случае будет выдан тот же ответ, если система имеет однозначное решение. Если же система имеет бесконечное множество решений, то таков будет и ответ, и это уже предмет пятой части этого урока.
Решить систему линейных уравнений методом Гаусса самостоятельно, а затем посмотреть решение
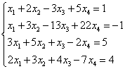
Перед нами вновь пример совместной и определённой системы линейных уравнений, в которой число уравнений равно числу неизвестных. Отличие от нашего демо-примера из алгоритма - здесь уже четыре уравнения и четыре неизвестных.
Пример 4. Решить систему линейных уравнений методом Гаусса:


Теперь нужно с помощью второго уравнения исключить переменную из последующих уравнений. Проведём подготовительные работы. Чтобы было удобнее с отношением коэффициентов, нужно получить единицу в во втором столбце второй строки. Для этого из второй строки вычтем третью, а полученную в результате вторую строку умножим на -1.

Проведём теперь собственно исключение переменной из третьего и четвёртого уравнений. Для этого к третьей строке прибавим вторую, умноженную на , а к четвёртой - вторую, умноженную на .

Теперь с помощью третьего уравнения исключим переменную из четвёртого уравнения. Для этого к четвёртой строке прибавим третью, умноженную на . Получаем расширенную матрицу трапециевидной формы.

Получили систему уравнений, которой эквивалентна заданная система:

Следовательно, полученная и данная системы являются совместными и определёнными. Окончательное решение находим «с конца». Из четвёртого уравнения непосредственно можем выразить значение переменной "икс четвёртое":
Это значение подставляем в третье уравнение системы и получаем
,
,
Наконец, подстановка значений
В первое уравнение даёт
,
откуда находим "икс первое":
Ответ: данная система уравнений имеет единственное решение
.
Проверить решение системы можно и на калькуляторе, решающем методом Крамера : в этом случае будет выдан тот же ответ, если система имеет однозначное решение.
Решение методом Гаусса прикладных задач на примере задачи на сплавы
Системы линейных уравнений применяются для моделирования реальных объектов физического мира. Решим одну из таких задач - на сплавы. Аналогичные задачи - задачи на смеси, стоимость или удельный вес отдельных товаров в группе товаров и тому подобные.
Пример 5. Три куска сплава имеют общую массу 150 кг. Первый сплав содержит 60% меди, второй - 30%, третий - 10%. При этом во втором и третьем сплавах вместе взятых меди на 28,4 кг меньше, чем в первом сплаве, а в третьем сплаве меди на 6,2 кг меньше, чем во втором. Найти массу каждого куска сплава.
Решение. Составляем систему линейных уравнений:

Умножаем второе и третье уравнения на 10, получаем эквивалентную систему линейных уравнений:

Составляем расширенную матрицу системы:

Внимание, прямой ход. Путём сложения (в нашем случае - вычитания) одной строки, умноженной на число (применяем два раза) с расширенной матрицей системы происходят следующие преобразования:

Прямой ход завершился. Получили расширенную матрицу трапециевидной формы.
Применяем обратный ход. Находим решение с конца. Видим, что .
Из второго уравнения находим
Из третьего уравнения -
Проверить решение системы можно и на калькуляторе, решающем методом Крамера : в этом случае будет выдан то же ответ, если система имеет однозначное решение.
О простоте метода Гаусса говорит хотя бы тот факт, что немецкому математику Карлу Фридриху Гауссу на его изобретение потребовалось лишь 15 минут. Кроме метода его имени из творчества Гаусса известно изречение "Не следует смешивать то, что нам кажется невероятным и неестественным, с абсолютно невозможным" - своего рода краткая инструкция по совершению открытий.
Во многих прикладных задачах может и не быть третьего ограничения, то есть, третьего уравнения, тогда приходится решать методом Гаусса систему двух уравнений с тремя неизвестными, или же, наоборот - неизвестных меньше, чем уравнений. К решению таких систем уравнений мы сейчас и приступим.
С помощью метода Гаусса можно установить, совместна или несовместна любая система n линейных уравнений с n переменными.
Метод Гаусса и системы линейных уравнений, имеющие бесконечное множество решений
Следующий пример - совместная, но неопределённая система линейных уравнений, то есть имеющая бесконечное множество решений.
После выполнения преобразований в расширенной матрице системы (перестановки строк, умножения и деления строк на некоторое число, прибавлению к одной строке другой) могли появиться строки вида
Если во всех уравнениях имеющих вид
Свободные члены равны нулю, то это означает, что система неопределённа, то есть имеет бесконечное множество решений, а уравнения этого вида – «лишние» и их исключаем из системы.
Пример 6.

Решение. Составим расширенную матрицу системы. Затем с помощью первого уравнения исключим переменную из последующих уравнений. Для этого ко второй, третьей и четвёртой строкам прибавим первую, умноженную соответственно на :

Теперь вторую строку прибавим к третьей и четвёртой.

В результате приходим к системе

Последние два уравнения превратились в уравнения вида . Эти уравнения удовлетворяются при любых значениях неизвестных и их можно отбросить.
Чтобы удовлетворить второму уравнению, мы можем для и
выбрать произвольные значения
, тогда значение для
определится уже однозначно:
. Из первого уравнения
значение для также находится
однозначно:
.
Как заданная, так и последняя системы совместны, но неопределённы, и формулы

при произвольных и дают нам все решения заданной системы.
Метод Гаусса и системы линейных уравнений, не имеющие решений
Следующий пример - несовместная система линейных уравнений, то есть не имеющая решений. Ответ на такие задачи так и формулируется: система не имеет решений.
Как уже говорилось в связи с первым примером, после выполнения преобразований в расширенной матрице системы могли появиться строки вида
соответствующие уравнению вида
Если среди них есть хотя бы одно уравнение с отличным от нуля свободным членом (т.е. ), то данная система уравнений является несовместной, то есть не имеет решений и на этом её решение закончено.
Пример 7. Решить методом Гаусса систему линейных уравнений:

Решение. Составляем расширенную матрицу системы. С помощью первого уравнения исключаем из последующих уравнений переменную . Для этого ко второй строке прибавляем первую, умноженную на , к третьей строке - первую, умноженную на , к четвёртой - первую, умноженную на .

Теперь нужно с помощью второго уравнения исключить переменную из последующих уравнений. Чтобы получить целые отношения коэффициентов, поменяем местами вторую и третью строки расширенной матрицы системы.

Для исключения из третьего и четвёртого уравнения к третьей строке прибавим вторую, умноженную на , а к четвёртой - вторую, умноженную на .

Теперь с помощью третьего уравнения исключим переменную из четвёртого уравнения. Для этого к четвёртой строке прибавим третью, умноженную на .

Заданная система эквивалентна, таким образом, следующей:

Полученная система несовместна, так как её последнее уравнение не может быть удовлетворено никакими значениями неизвестных. Следовательно, данная система не имеет решений.
Метод Гаусса прекрасно подходит для решения систем линейных алгебраических уравнений (СЛАУ). Он обладает рядом преимуществ по сравнению с другими методами:
- во-первых, нет необходимости предварительно исследовать систему уравнений на совместность;
- во-вторых, методом Гаусса можно решать не только СЛАУ, в которых число уравнений совпадает с количеством неизвестных переменных и основная матрица системы невырожденная, но и системы уравнений, в которых число уравнений не совпадает с количеством неизвестных переменных или определитель основной матрицы равен нулю;
- в-третьих, метод Гаусса приводит к результату при сравнительно небольшом количестве вычислительных операций.
Краткий обзор статьи.
Сначала дадим необходимые определения и введем обозначения.
Далее опишем алгоритм метода Гаусса для простейшего случая, то есть, для систем линейных алгебраических уравнений, количество уравнений в которых совпадает с количеством неизвестных переменных и определитель основной матрицы системы не равен нулю. При решении таких систем уравнений наиболее отчетливо видна суть метода Гаусса, которая заключается в последовательном исключении неизвестных переменных. Поэтому метод Гаусса также называют методом последовательного исключения неизвестных. Покажем подробные решения нескольких примеров.
В заключении рассмотрим решение методом Гаусса систем линейных алгебраических уравнений, основная матрица которых либо прямоугольная, либо вырожденная. Решение таких систем имеет некоторые особенности, которые мы подробно разберем на примерах.
Навигация по странице.
Основные определения и обозначения.
Рассмотрим систему из p линейных уравнений с n неизвестными (p может быть равно n ):
Где - неизвестные переменные, - числа (действительные или комплексные), - свободные члены.
Если
, то система линейных алгебраических уравнений называется однородной
, в противном случае – неоднородной
.
Совокупность значения неизвестных переменных , при которых все уравнения системы обращаются в тождества, называется решением СЛАУ .
Если существует хотя бы одно решение системы линейных алгебраических уравнений, то она называется совместной , в противном случае – несовместной .
Если СЛАУ имеет единственное решение, то она называется определенной . Если решений больше одного, то система называется неопределенной .
Говорят, что система записана в координатной форме
, если она имеет вид
.
Эта система в матричной форме
записи имеет вид , где
- основная матрица СЛАУ, - матрица столбец неизвестных переменных, - матрица свободных членов.
Если к матрице А
добавить в качестве (n+1)-ого
столбца матрицу-столбец свободных членов, то получим так называемую расширенную матрицу
системы линейных уравнений. Обычно расширенную матрицу обозначают буквой Т
, а столбец свободных членов отделяют вертикальной линией от остальных столбцов, то есть,
Квадратная матрица А называется вырожденной , если ее определитель равен нулю. Если , то матрица А называется невырожденной .
Следует оговорить следующий момент.
Если с системой линейных алгебраических уравнений произвести следующие действия
- поменять местами два уравнения,
- умножить обе части какого-либо уравнения на произвольное и отличное от нуля действительное (или комплексное) число k ,
- к обеим частям какого-либо уравнения прибавить соответствующие части другого уравнения, умноженные на произвольное число k ,
то получится эквивалентная система, которая имеет такие же решения (или также как и исходная не имеет решений).
Для расширенной матрицы системы линейных алгебраических уравнений эти действия будут означать проведение элементарных преобразований со строками:
- перестановку двух строк местами,
- умножение всех элементов какой-либо строки матрицы T на отличное от нуля число k ,
- прибавление к элементам какой-либо строки матрицы соответствующих элементов другой строки, умноженных на произвольное число k .
Теперь можно переходить к описанию метода Гаусса.
Решение систем линейных алгебраических уравнений, в которых число уравнений равно числу неизвестных и основная матрица системы невырожденная, методом Гаусса.
Как бы мы поступили в школе, если бы получили задание найти решение системы уравнений
.
Некоторые сделали бы так.
Заметим, что прибавив к левой части второго уравнения левую часть первого, а к правой части - правую, можно избавиться от неизвестных переменных x 2
и x 3
и сразу найти x 1
:
Подставляем найденное значение x 1 =1
в первое и третье уравнение системы:
Если умножить обе части третьего уравнения системы на -1
и прибавить их к соответствующим частям первого уравнения, то мы избавимся от неизвестной переменной x 3
и сможем найти x 2
:
Подставляем полученное значение x 2 =2
в третье уравнение и находим оставшуюся неизвестную переменную x 3
:
Другие поступили бы иначе.
Разрешим первое уравнение системы относительно неизвестной переменной x 1
и подставим полученное выражение во второе и третье уравнение системы, чтобы исключить из них эту переменную:
Теперь разрешим второе уравнение системы относительно x 2
и подставим полученный результат в третье уравнение, чтобы исключить из него неизвестную переменную x 2
:
Из третьего уравнения системы видно, что x 3 =3
. Из второго уравнения находим
, а из первого уравнения получаем .
Знакомые способы решения, не правда ли?
Самое интересное здесь то, что второй способ решения по сути и есть метод последовательного исключения неизвестных, то есть, метод Гаусса. Когда мы выражали неизвестные переменные (сначала x 1 , на следующем этапе x 2 ) и подставляли их в остальные уравнения системы, мы тем самым исключали их. Исключение мы проводили до того момента, пока в последнем уравнении не осталась одна единственная неизвестная переменная. Процесс последовательного исключения неизвестных называется прямым ходом метода Гаусса . После завершения прямого хода у нас появляется возможность вычислить неизвестную переменную, находящуюся в последнем уравнении. С ее помощью из предпоследнего уравнения находим следующую неизвестную переменную и так далее. Процесс последовательного нахождения неизвестных переменных при движении от последнего уравнения к первому называется обратным ходом метода Гаусса .
Следует заметить, что когда мы выражаем x 1 через x 2 и x 3 в первом уравнении, а затем подставляем полученное выражение во второе и третье уравнения, то к такому же результату приводят следующие действия:
Действительно, такая процедура также позволяет исключить неизвестную переменную x 1
из второго и третьего уравнений системы:
Нюансы с исключением неизвестных переменных по методу Гаусса возникают тогда, когда уравнения системы не содержат некоторых переменных.
Например, в СЛАУ
в первом уравнении отсутствует неизвестная переменная x 1
(иными словами, коэффициент перед ней равен нулю). Поэтому мы не можем разрешить первое уравнение системы относительно x 1
, чтобы исключить эту неизвестную переменную из остальных уравнений. Выходом из этой ситуации является перестановка местами уравнений системы. Так как мы рассматриваем системы линейных уравнений, определители основных матриц которых отличны от нуля, то всегда существует уравнение, в котором присутствует нужная нам переменная, и мы это уравнение можем переставить на нужную нам позицию. Для нашего примера достаточно поменять местами первое и второе уравнения системы
, дальше можно разрешить первое уравнение относительно x 1
и исключить ее из остальных уравнений системы (хотя во втором уравнении x 1
уже отсутствует).
Надеемся, что суть Вы уловили.
Опишем алгоритм метода Гаусса.
Пусть нам требуется решить систему из n
линейных алгебраических уравнений с n
неизвестными переменными вида
, и пусть определитель ее основной матрицы отличен от нуля.
Будем считать, что , так как мы всегда можем этого добиться перестановкой местами уравнений системы. Исключим неизвестную переменную x 1
из всех уравнений системы, начиная со второго. Для этого ко второму уравнению системы прибавим первое, умноженное на , к третьему уравнению прибавим первое, умноженное на , и так далее, к n-ому
уравнению прибавим первое, умноженное на . Система уравнений после таких преобразований примет вид
где , а
.
К такому же результату мы бы пришли, если бы выразили x 1 через другие неизвестные переменные в первом уравнении системы и полученное выражение подставили во все остальные уравнения. Таким образом, переменная x 1 исключена из всех уравнений, начиная со второго.
Далее действуем аналогично, но лишь с частью полученной системы, которая отмечена на рисунке
Для этого к третьему уравнению системы прибавим второе, умноженное на , к четвертому уравнению прибавим второе, умноженное на , и так далее, к n-ому
уравнению прибавим второе, умноженное на . Система уравнений после таких преобразований примет вид
где , а
. Таким образом, переменная x 2
исключена из всех уравнений, начиная с третьего.
Далее приступаем к исключению неизвестной x 3
, при этом действуем аналогично с отмеченной на рисунке частью системы
Так продолжаем прямой ход метода Гаусса пока система не примет вид
С этого момента начинаем обратный ход метода Гаусса: вычисляем x n из последнего уравнения как , с помощью полученного значения x n находим x n-1 из предпоследнего уравнения, и так далее, находим x 1 из первого уравнения.
Разберем алгоритм на примере.
Пример.
методом Гаусса.
Решение.
Коэффициент a 11
отличен от нуля, так что приступим к прямому ходу метода Гаусса, то есть, к исключению неизвестной переменной x 1
из всех уравнений системы, кроме первого. Для этого к левой и правой частям второго, третьего и четвертого уравнения прибавим левую и правую части первого уравнения, умноженные соответственно на ,
и :
Неизвестную переменную x 1
исключили, переходим к исключению x 2
. К левым и правым частям третьего и четвертого уравнений системы прибавляем левую и правую части второго уравнения, умноженные соответственно на
и
:
Для завершения прямого хода метода Гаусса нам осталось исключить неизвестную переменную x 3
из последнего уравнения системы. Прибавим к левой и правой частям четвертого уравнения соответственно левую и правую часть третьего уравнения, умноженную на
:
Можно начинать обратный ход метода Гаусса.
Из последнего уравнения имеем
,
из третьего уравнения получаем ,
из второго ,
из первого .
Для проверки можно подставить полученные значения неизвестных переменных в исходную систему уравнений. Все уравнения обращаются в тождества, что говорит о том, что решение по методу Гаусса найдено верно.
Ответ:
А сейчас приведем решение этого же примера методом Гаусса в матричной форме записи.
Пример.
Найдите решение системы уравнений
методом Гаусса.
Решение.
Расширенная матрица системы имеет вид
. Сверху над каждым столбцом записаны неизвестные переменные, которым соответствуют элементы матрицы.
Прямой ход метода Гаусса здесь предполагает приведение расширенной матрицы системы к трапецеидальному виду с помощью элементарных преобразований. Этот процесс схож с исключением неизвестных переменных, которое мы проводили с системой в координатной форме. Сейчас Вы в этом убедитесь.
Преобразуем матрицу так, чтобы все элементы в первом столбце, начиная со второго, стали нулевыми. Для этого к элементам второй, третьей и четвертой строк прибавим соответствующие элементы первой строки умноженные на ,
и на соответственно:

Далее полученную матрицу преобразуем так, чтобы во втором столбце все элементы, начиная с третьего стали нулевыми. Это будет соответствовать исключению неизвестной переменной x 2
. Для этого к элементам третьей и четвертой строк прибавим соответствующие элементы первой строки матрицы, умноженные соответственно на
и
:

Осталось исключить неизвестную переменную x 3
из последнего уравнения системы. Для этого к элементам последней строки полученной матрицы прибавим соответствующие элементы предпоследней строки, умноженные на
:

Следует отметить, что эта матрица соответствует системе линейных уравнений
которая была получена ранее после прямого хода.
Пришло время обратного хода. В матричной форме записи обратный ход метода Гаусса предполагает такое преобразование полученной матрицы, чтобы матрица, отмеченная на рисунке

стала диагональной, то есть, приняла вид

где - некоторые числа.
Эти преобразования аналогичны преобразованиям прямого хода метода Гаусса, но выполняются не от первой строки к последней, а от последней к первой.
Прибавим к элементам третьей, второй и первой строк соответствующие элементы последней строки, умноженные на
, на и на
соответственно:
Теперь прибавим к элементам второй и первой строк соответствующие элементы третьей строки, умноженные на и на соответственно:
На последнем шаге обратного хода метода Гаусса к элементам первой строки прибавляем соответствующие элементы второй строки, умноженные на :
Полученная матрица соответствует системе уравнений
, откуда находим неизвестные переменные.
Ответ:
ОБРАТИТЕ ВНИМАНИЕ.
При использовании метода Гаусса для решения систем линейных алгебраических уравнений следует избегать приближенных вычислений, так как это может привести к абсолютно неверным результатам. Рекомендуем не округлять десятичные дроби. Лучше от десятичных дробей переходить к обыкновенным дробям.
Пример.
Решите систему из трех уравнений методом Гаусса
.
Решение.
Отметим, что в этом примере неизвестные переменные имеют другое обозначение (не x 1 , x 2 , x 3
, а x, y, z
). Перейдем к обыкновенным дробям:
Исключим неизвестную x
из второго и третьего уравнений системы:
В полученной системе во втором уравнении отсутствует неизвестная переменная y
, а в третьем уравнении y
присутствует, поэтому, переставим местами второе и третье уравнения:
На этом прямой ход метода Гаусса закончен (из третьего уравнения не нужно исключать y , так как этой неизвестной переменной уже нет).
Приступаем к обратному ходу.
Из последнего уравнения находим
,
из предпоследнего

из первого уравнения имеем

Ответ:
X = 10, y = 5, z = -20 .
Решение систем линейных алгебраических уравнений, в которых число уравнений не совпадает с числом неизвестных или основная матрица системы вырожденная, методом Гаусса.
Системы уравнений, основная матрица которых прямоугольная или квадратная вырожденная, могут не иметь решений, могут иметь единственное решение, а могут иметь бесконечное множество решений.
Сейчас мы разберемся, как метод Гаусса позволяет установить совместность или несовместность системы линейных уравнений, а в случае ее совместности определить все решения (или одно единственное решение).
В принципе процесс исключения неизвестных переменных в случае таких СЛАУ остается таким же. Однако следует подробно остановиться на некоторых ситуациях, которые могут возникнуть.
Переходим к самому важному этапу.
Итак, допустим, что система линейных алгебраических уравнений после завершения прямого хода метода Гаусса приняла вид
и ни одно уравнение не свелось к (в этом случае мы бы сделали вывод о несовместности системы). Возникает логичный вопрос: «Что делать дальше»?
Выпишем неизвестные переменные, которые стоят на первом месте всех уравнений полученной системы:
В нашем примере это x 1
, x 4
и x 5
. В левых частях уравнений системы оставляем только те слагаемые, которые содержат выписанные неизвестные переменные x 1
, x 4
и x 5
, остальные слагаемые переносим в правую часть уравнений с противоположным знаком:
Придадим неизвестным переменным, которые находятся в правых частях уравнений, произвольные значения , где
- произвольные числа:

После этого в правых частях всех уравнений нашей СЛАУ находятся числа и можно преступать к обратному ходу метода Гаусса.
Из последнего уравнений системы имеем , из предпоследнего уравнения находим , из первого уравнения получаем
Решением системы уравнений является совокупность значений неизвестных переменных
Придавая числам
различные значения, мы будем получать различные решения системы уравнений. То есть, наша система уравнений имеет бесконечно много решений.
Ответ:

где
- произвольные числа.
Для закрепления материала подробно разберем решения еще нескольких примеров.
Пример.
Решите однородную систему линейных алгебраических уравнений
методом Гаусса.
Решение.
Исключим неизвестную переменную x
из второго и третьего уравнений системы. Для этого к левой и правой части второго уравнения прибавим соответственно левую и правую части первого уравнения, умноженные на , а к левой и правой части третьего уравнения - левую и правую части первого уравнения, умноженные на :
Теперь исключим y
из третьего уравнения полученной системы уравнений:
Полученная СЛАУ равносильна системе
.
Оставляем в левой части уравнений системы только слагаемые, содержащие неизвестные переменные x
и y
, а слагаемые с неизвестной переменной z
переносим в правую часть:
